找回密码
 注册会员

QQ登录

只需一步,快速开始

搜索
查看: 2792|回复: 2

[abaqus] 传统道碴路堤温度场分析

[复制链接]
发表于 2013-8-16 12:01:39 | 显示全部楼层 |阅读模式
1.        问题描述
图1为传统道碴路堤模型示意图。忽略风的作用,考虑气候变暖对传统道碴路堤长期热稳定性的影响。以下对其修筑完成后第2年和第50年的温度场进行分析。考虑对称性,取一半为研究对象。
1.jpg : @  M3 F! T! O+ F
1 传统道碴路堤模型示意图
2.        区域内控制方程
+ n4 s! V" o- l% ^/ C! ?+ x) S 2.jpg
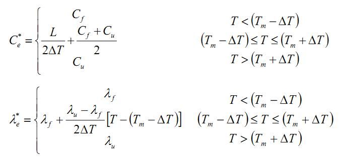
在计算中对于含水介质中相变潜热问题采用显热容法进行处理,假设模型中含水介质相变发生在温度区间(Tm±ΔT)。当建立等效体积热容时,应考虑温度间隔ΔT的影响, 同时假设介质在已冻、未冻时的体积热容CfCu及导热系数λf λu不取决于温度,因此简化构造出Ce*和λe*的表达式如下:) @6 q& ^$ b! M& _
3.jpg
式中:L为含水介质单位体积相变潜热。
3.        材料参数
各介质材料参数见表1。
1 路堤结构中各介质的物理参数4 ^& Z! G& v  @: z
4.jpg
4.        边界条件与初值条件
4.1. 给定温度
考虑全球气候变暖的影响,取青藏高原未来 50年年平均气温上升 2.6 ℃,设初始年平均气温为-4.0 ℃,对各计算模型的热边界条件进行如下设定:
天然地表 AB和 IJ的温度按下式变化:
6 z0 @1 v( E! |3 ]( t 5.jpg
路堤斜坡 BCDE和FGHI 的温度按如下规律变化:$ i; W& }+ i: m  V( V* u' H
6.jpg
路堤顶面 EF的温度变化规律为:
  o' M- W. L# n; O4 H 7.jpg
式中:th为时间变量,当α0=0时,th=0对应的初始时间为7月15日
4.2. 给定热流密度:, V! N* i+ Q' f7 B' _
8.jpg
4.3. 初值条件
2 J' K7 h. V/ A$ f+ x 9.JPG
5.        时间步设定:
 
起始时间
终止时间
时间步长
定义计算数据/s
0
63072000
432000
对应实际时间
第1年7月15日
第3年7月15日
5天
试算两年,共146步;
第2年 7月15日对应为第73步;
第2年10月15日对应为第91步;
6.        网格剖分
四节点四边形、三节点三角形! b8 P9 [( ?$ ^4 `
10.jpg 5 w* d. M8 P  n$ W; ~' [4 U3 K
11.jpg
7.        结果
第2年10月15日温度分布云图
6 C8 K5 C, N8 p3 {; U2 e* T* Y 12.jpg
等值线图5 `8 U, M2 x! \
13.jpg
回复

使用道具 举报

发表于 2015-3-26 10:54:54 | 显示全部楼层
好像很牛呢,值得学习。。
发表于 2015-5-18 22:41:51 | 显示全部楼层
写几个有限元公式忽悠人呢
您需要登录后才可以回帖 登录 | 注册会员

本版积分规则

Archiver|手机版|小黑屋|机械社区 ( 京ICP备10217105号-1,京ICP证050210号,浙公网安备33038202004372号 )

GMT+8, 2025-10-15 16:57 , Processed in 0.067670 second(s), 21 queries , Gzip On.

Powered by Discuz! X3.5 Licensed

© 2001-2025 Discuz! Team.

快速回复 返回顶部 返回列表